已经很久没有写技术文章了,脑袋瓜有点生锈,写的不好别见怪,今天就是想带点干货给大家分享一下。文章的内容有一点点难度,不过基本都是计算机组成原理的知识,算是温故而知新吧!
学过JavaScript的童鞋应该非常清楚,0.1 + 0.2 是不等于0.3的,而是等于0.30000000000000004,至于为什么会这样?好像有点说不清楚,只知道是JavaScript精确度问题,其他不得而知了。没关系,看完慢慢就懂了!
目录
- 浮点数十进制转二进制
- IEEE 754 标准
- 浮点数二进制运算
- 实践扩展
十进制转二进制
0.1的二进制:0.000110011......0011......(0011无限循环)
0.2的二进制:0.00110011......0011...... (0011无限循环)
说明:转换过程就不在这边描述了
IEEE 754 标准
IEEE二进制浮点数算术标准(IEEE 754)是20世纪80年代以来最广泛使用的浮点数运算标准,为许多CPU与浮点运算器所采用。
这个标准定义了表示浮点数的格式(包括负零-0)与反常值(denormal number)),一些特殊数值(无穷(Inf)与非数值(NaN)),以及这些数值的“浮点数运算符”;它也指明了四种数值舍入规则和五种例外状况(包括例外发生的时机与处理方式)。
百度百科
浮点数存储格式
上图是64位的双精度浮点数,最高位是符号位S(sign),中间的11位是指数E(exponent),剩下的52位为尾数(有效数字)M(mantissa)。
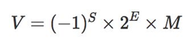
浮点数科学计数法
根据IEEE 754标准,任意一个浮点数的二进制都可以用如下公式进行表示:
S为符号位:表示浮点数的正负(0代表正数,1代表负数);
E为指数位:存储指数,该数都会加上一个常数(偏移量),用来表示次方数;
M为尾数位:表示有效位(尾数),超出的部分自动进1舍0;
双精度的浮点数真值(带有正负号的数值是真值)最终可以表示为:
说明:E是无符号整数,长度是11位,取值范围是为0~2047。因为科学计数法中的指数是可以为负数,所以约定减去一个中间数(偏移量)1023,[0,1022] 表示为负,[1024,2047] 表示为正。
浮点数二进制运算
规格化
大部分二进制浮点数都以规格化格式进行存放,以便将有效数字的精度最大化,提升精确度。
0.1的二进制
0.000110011001100110011001100110011001100110011001100110011...... (0011无限循环)
0.1科学计数法表示
小数点向右移动4位,让其小数点左边只有一个“1”。
1.10011001100110011001100110011001100110011001100110011......(0011无限循环) * 2^-4
根据IEEE754标准,双精度浮点的尾数只能存储52位,红色的“1”是第53位,根据进1舍0的原则进行操作,操作后的值为:
1.1001100110011001100110011001100110011001100110011010* 2^-4
0.1二进制存储格式
指数-4等于1019(E) – 1023(常量),由此可得E等于1019,把1019转为二进制1111111011。
最终表示如下:
0,01111111011;1001100110011001100110011001100110011001100110011010
说明:红色为符号位;绿色为指数位;蓝色为尾数位;
0.2的二进制
0.001100110011001100110011001100110011001100110011001100110011...... (0011无限循环)
0.2科学计数法表示
小数点向右移动3位,让其小数点左边只有一个“1”。
1.10011001100110011001100110011001100110011001100110011......(0011无限循环) * 2^-3
红色的“1”是第53位,根据进1舍0的原则进行操作,操作后的值为:
1.1001100110011001100110011001100110011001100110011010...... (0011无限循环) * 2^-3
0.2二进制存储格式
指数-3等于1020(E) – 1023(常量),由此可得E等于1020,把1020转为二进制1111111100。
最终表示如下:
0,01111111100;1001100110011001100110011001100110011001100110011010
说明:红色为符号位;绿色为指数位;蓝色为尾数位;
对阶
对阶的目的是使两数的小数点位置对齐,方便两数进行运算,换句话说就是两数的阶码要相等。根据小阶向大阶看齐的原则,应使0.1的尾数向右移动1位(可以理解为小数点向左移动1位),阶码加1。
尾数向右移动1位后,阶码和尾数的值变化如下:
阶码:01111111011 + 1 ——> 01111111100
尾数:
11001100110011001100110011001100110011001100110011010
——> 1100110011001100110011001100110011001100110011001101
蓝色的“1”是右移补的位,红色的0是舍去的位,根据IEEE 754标准双精度浮点的尾数只能存储52位,遵循进1舍0的原则进行操作。
0.1的科学计数法表示:
0.1100110011001100110011001100110011001100110011001101 *2^-3
0.1的二进制存储格式:
0,01111111100;1100110011001100110011001100110011001100110011001101
尾数求和
尾数部分M通常都是规格化表示的,非"0"的尾数其第1位总是"1",而这一位也称作隐藏位,因为存储的时候该位会被省略。比如存储1.0110时,只存储尾数0110,等到读取的时候才把第1位的1加补上去,这么做相当于多保存了1位有效数字。
0.1的尾数 + 0.2的尾数 =
0.1100110011001100110011001100110011001100110011001101 + 1.1001100110011001100110011001100110011001100110011010 = 10.0110011001100110011001100110011001100110011001100111
由此可得:
0.1 + 0.2 = 10.0110011001100110011001100110011001100110011001100111* 2^-3
结果规格化
根据尾数求和的结果,进行规格化处理,即尾数向右移1位,阶码加1。
1.00110011001100110011001100110011001100110011001100111 * 2^-2
尾数只能存储52位,红色的“1”需要舍去,根据进1舍0的原则进行操作可得:
1.0011001100110011001100110011001100110011001100110100* 2^-2
二进制存储格式:
指数-2等于1021(E) – 1023(常量),由此可得E等于1021,把1021转为二进制01111111101;
0,01111111101;0011001100110011001100110011001100110011001100110100
溢出判断
浮点数的溢出其实是阶码的溢出表现出来的,在算术运算过程中要检查是否产生了溢出。若阶码正常,算术运算正常结束;若阶码溢出,则要进行相应处理。
如上求和结果的阶码为01111111101,没有产生溢出,因此运算结束。
结果转为十进制
二进制存储格式是计算机存储和运算的格式,此时把二进制转为十进制,我们可以看看最终求和的值会是多少?
规格化的值是转为非规格化
指数的值为2,将规格化的小数点向左移动2位即可。
1.0011001100110011001100110011001100110011001100110100* 2^-2
——>
0.010011001100110011001100110011001100110011001100110100
非规格化的值转成十进制
0.1 + 0.2 =
0.3000000000000000444089209850062616169452667236328125
此时此刻,你应该明白JavaScript中0.1 + 0.2 = 0.30000000000000004 这个值是怎么来的吧。
实践扩展:
为了方便大家学习与实践,提供如下PHP实践代码,它是将“0.010011001100110011001100110011001100110011001100110100”转成十进制的功能代码,大家可以尝试测试一下。
var_dump(number_format(0+ 1 * pow(2, -2) + 0 + 0 + 1 * pow(2, -5) + 1 * pow(2, -6) + 0 + 0 + 1 * pow(2,-9) + 1 * pow(2, -10) + 0 + 0 + 1 * pow(2, -13) + 1 * pow(2, -14) + 0 + 0 + 1 *pow(2, -17) + 1 * pow(2, -18) + 0 + 0 + 1 * pow(2, -21) + 1 * pow(2, -22) + 0 +0 + 1 * pow(2, -25) + 1 * pow(2, -26) + 0 + 0 + 1 * pow(2, -29) + 1 * pow(2,-30) + 0 + 0 + 1 * pow(2, -33) + 1 * pow(2, -34) + 0 + 0 + 1 * pow(2, -37) + 1* pow(2, -38) + 0 + 0 + 1 * pow(2, -41) + 1 * pow(2, -42) + 0 + 0 + 1 * pow(2,-45) + 1 * pow(2, -46) + 0 + 0 + 1 * pow(2, -49) + 1 * pow(2, -50) + 0 + 1 *pow(2, -52) + 0 + 0, 52));
好了,干货分享完毕,谢谢大家!

试了一下还真是这样