小程序
小游戏
企业微信
微信支付
扫描小程序码分享
各位好,麻烦问下,后台返回的JSON对象中含有lateX排版的数学公式,我在项目中引入了towxml,但是前端显示的时候部分显示不对,
比如,后台返回的字符串为“$x = {-b \pm \sqrt{b^2-4ac} \over 2a}$”,前端显示如下:
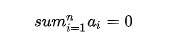
后台返回的字符串为:“$$\sum_{i=1}^n a_i=0$$”,前端显示如下:
请问是什么原因啊?
我将官方的demo运行起来,数学公式可以正常显示,我看了下,官方使用的数据来源于网页,但是返回的时候也是一个对象,却可以正常显示出来
加粗
标红
插入代码
插入链接
插入图片
上传视频
关注后,可在微信内接收相应的重要提醒。
请使用微信扫描二维码关注 “微信开放社区” 公众号